关于依法打击恶意抢注“冰墩墩”“谷爱凌”等商标注册的通告
第二十四届冬季奥林匹克运动会正在北京和张家口隆重举办,来自全球90多个国家的冬奥健儿们奋勇拼搏,诠释了“更快、更高、更强、更团结”的奥林匹克精神,传递着“一起向未来”的文明和谐进取的美好愿景。
国家知识产权局高度重视冬奥会和冬残奥会知识产权保护工作,并持续深入开展打击恶意商标注册专项行动,先后对“北京2022”、 北京2022年冬奥会会徽和北京2022年冬残奥会会徽等予以特殊标志保护,对北京冬奥组委申请的“冰墩墩”“雪容融”等予以商标注册保护,对其他适格主体申请的“谷爱凌”等冬奥健儿姓名商标予以注册保护。
然而,2019年以来,少数企业、自然人以牟取不当利益为目的,将北京2022年冬奥会和冬残奥会吉祥物、运动健儿姓名等冬奥热词进行恶意抢注,委托代理机构提交商标注册申请,非法利用奥运会和奥组委的声誉,侵害他人姓名权及其他合法权益,造成了重大社会不良影响,损害了我国严格保护知识产权的良好形象。
对此,国家知识产权局予以坚决打击,依据《奥林匹克标志保护条例》、《商标法》第十条第一款第(八)项等规定,对第41128524号“冰墩墩”、第62453532号“谷爱凌”等429件商标注册申请予以驳回(附件一);依据《商标法》第四十四条第一款规定,对已注册的第41126916号“雪墩墩”、第38770198号 “谷爱凌”等43件商标依职权主动宣告无效(附件二)。
办好北京2022年冬奥会和冬残奥会是中国政府对国际社会的庄严承诺,对相关知识产权实施全方位、立体化保护是国家知识产权局的职责所在。我局将一如既往地保持严厉打击商标恶意注册行为的高压态势,不断强化对包括冬奥吉祥物、运动健儿姓名在内的奥运热词进行严格保护,对违反诚实信用原则、恶意抢注商标图谋不当利益的申请人及其委托的商标代理机构依法依规进行严肃处理,持续为北京2022年冬奥会和冬残奥会保驾护航。欢迎社会公众对涉嫌恶意商标注册的行为进行监督和举报。
特此通告。
附件:
1.驳回商标注册申请名单
2.依职权宣告注册商标无效名单
国家知识产权局
2022年2月14日
附件1
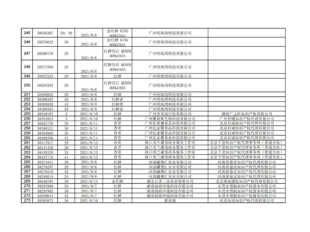
驳回商标注册申请名单
















国新南方联合举办积木加™双维创新工作坊获学员满分好评
2025-07-09“十五五”知识产权规划建议征集
2025-05-12关于印发《2025年知识产权强国建设推进计划》的通知
2025-05-12《2025年知识产权强国建设推进计划》印发
2025-05-09国家知识产权局发布2024年度知识产权行政保护典型案例
2025-04-29专利法实施40周年座谈会在京召开
2025-04-24现代化新重庆知识产权强市建设大会在渝召开
2025-04-11国家知识产权强国建设工作部际联席会议第二次全体会议召开
2025-04-09中国专利法:卌载赓续 一路生花
2025-04-022025年全国知识产权公共服务工作会召开
2025-03-21